Зеленский ввел новые санкции против иерархов УПЦ. Документ
Президент Владимир Зеленский ввел новые санкции против иерархов Украинской православной церкви.
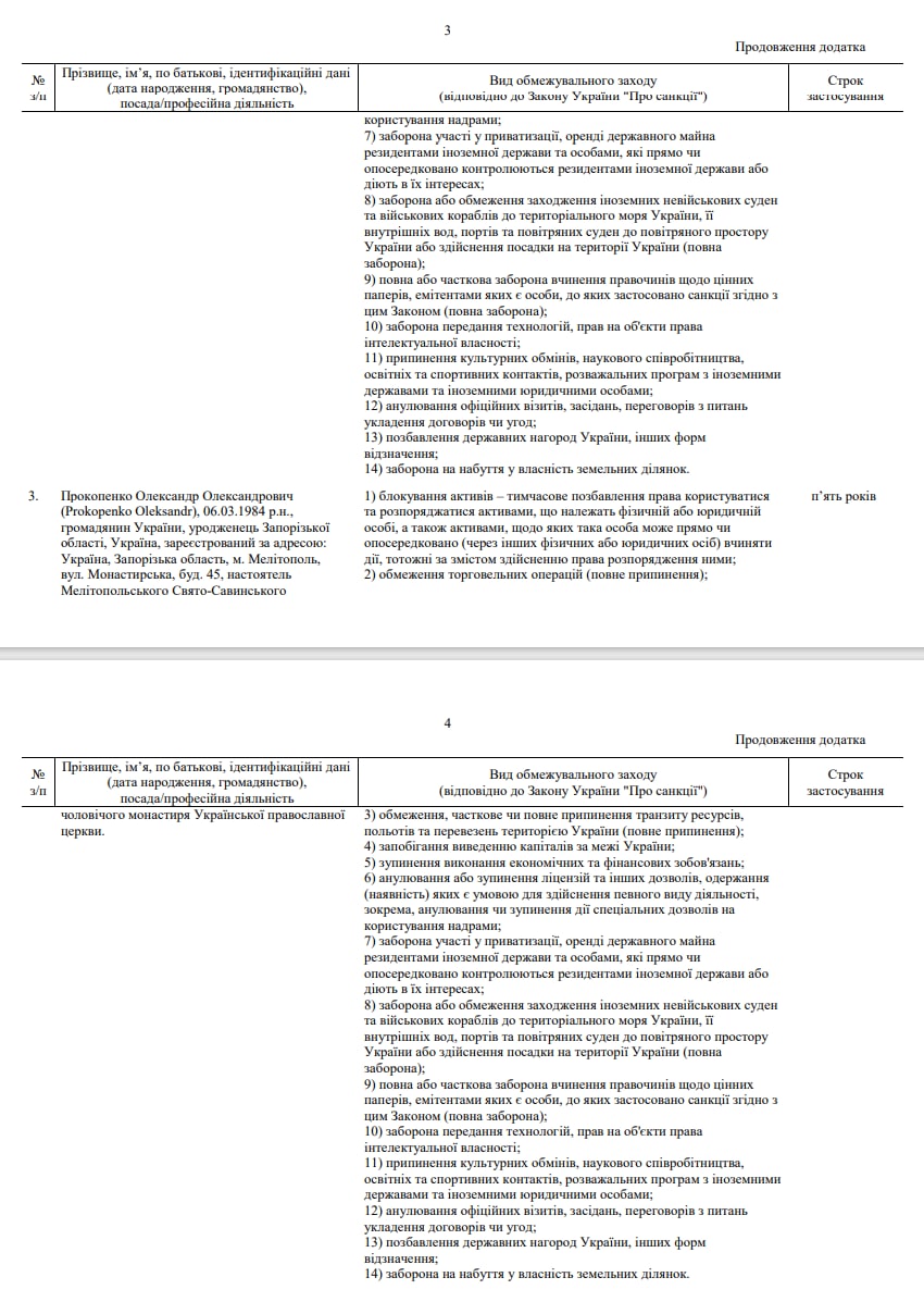
Об этом говорится в соответствующих документах.
Среди попавших под санкции - митрополит Антоний (Паканич), управляющий делами УПЦ и один самых влиятельных ее руководителей.
Под санкции Зеленского и СНБО попал митрополит Запорожский Лука (Андрей Коваленко) - еще один влиятельный иерарх Украинской православной церкви. Также под санкции попал митрополит Черновицкий и Буковинский Мелетий.
Остальные - митрополиты на захваченных Россией территориях.

.jpg)


Ранее "Страна" рассказывала, что в Верховную Раду внесли законопроект о правовом регулировании деятельности религиозных организаций в Украине. Фактически в данном законопроекте речь идёт о запрете Украинской православной церкви.
При этом в профильном комитете Верховной Рады заявили, что законопроект о запрете структур РПЦ в Украине не означает запрет УПЦ.
Война в Украине продолжается уже 291-й день. "Страна" следит за новостями 11 декабря в своем онлайне.
Ранее мы подводили итоги 290-го дня войны. Ситуация на фронте остается тяжелой. Самые горячие точки - Бахмут, Соледар, Марьинка, Кременная. Бахмут практически уничтожен постоянными артобстрелами.
Карты вторжения, главные новости, фото и видео публикуются в Telegram-канале "Политика Страны".
Чтобы всегда быть в курсе самого важного, рекомендуем скачать наши приложения в AppStore и Google Play.
Олеся Медведева в блоге "Ясно. Понятно" рассказывает о последних событиях на фронте и вокруг Украины.




